0 引言
金屬管轉子流量計(亦稱金屬管浮子流量計) 是工業自動化過程控制中一種常見的變面積式流量計,具備結構簡單、安裝方便、性能可靠、價格低廉、維護性好等諸多優點[1],在精細化工行業得到廣泛應用。
常規的金屬管轉子流量計要求流體進料方向為底進上出形式,需要安裝在底部進料的垂直管道上;由于工藝管道以水平走向居多,這種安裝方式在一定程度上限制了轉子流量計的應用。目前某國際知名流量計廠家推出一款可以水平安裝的金屬管轉子流量計,其可靠性及應用范圍得到國家相關規范的認可。本文對其進行了詳細介紹,以期待該流量計能夠得到更好的應用。
1 金屬管轉子流量計基本測量原理
金屬管轉子流量計的主體構件是一根金屬材質的錐形測量管,測量元件是一個內置磁鋼的轉子(或稱浮子),故而得名[2]。金屬管的錐度通常在4°左右,下端截面積略小于上端;轉子直徑略小于金屬管內徑,形成一個截面積較小的環隙。轉子材料密度需大于被測流體的密度,確保可以在錐形測量管內自由上下移動。被測流體自下而上通過測量錐管時,流體沖擊力和浮力同時作用令轉子逐步上升。隨著轉子上升,其環隙面積逐步擴大,導致流體沖擊力隨之減小直至沖擊力、浮力與轉子重量達到受力平衡,此時浮子便穩定懸浮在某一高度上。如果被測流體流速發生變化,轉子上升高度會隨之改變直至穩定在新的受力平衡點[3],故而浮子平衡點位置的高低可以實時反饋被測流體的流量大小,這就是變面積式測量的原理。通常用轉子受力平衡后的上端平面高出錐形測量管底部的高度來指示流量的大小,并通過轉子的內置磁鋼將轉子的位置信號轉變為磁場信號,再通過精密充磁的磁耦合系統及智能型指示器將磁場變化趨勢轉化成電信號,經過數字信號處理及數據運算補償,可以遠傳到LCD 液晶顯示屏上,顯示出瞬時流量及累積流量數據。
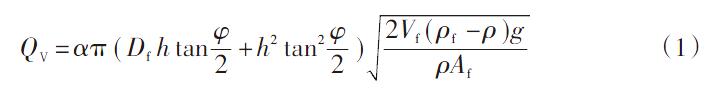
根據《自動化儀表選型設計規范》HG/T 20507-2014附錄A流量儀表選型規定,黏性液體不宜采用金屬管轉子流量計測量流量[4],因此金屬管轉子流量計僅用于測量黏度較小的流體介質,工作過程中可以忽略黏性應力的影響。根據流體伯努利方程及阿基米德浮力公式進行推導,金屬管轉子流量計的經典流量計算公式[5]為:
式中:QV 為工況體積流量,m3/s;α為流量系數(無量綱量),數值取決于轉子形狀;Df為轉子*大直徑,m;φ為錐形測量管錐角;h 為轉子受力平衡后上端平面高出錐形測量管底部的高度,m;Vf為轉子體積,m3;Af為轉子垂直于流向的*大橫截面積,m2;ρf為轉子材料密度,kg/m3;ρ為流體介質密度,kg/m3;g 為當地重力加速度,m/s2。對于同一規格的金屬管轉子流量計,α、Df、φ、Vf、ρf及Af均為常數。因此根據經典的流量計算公式,流量大小僅取決于轉子高度及流體介質密度,可以利用該公式對標定好的金屬管轉子流量計進行刻度換算[6]。
2 水平安裝式金屬管轉子流量計
針對常規的金屬管轉子流量計必須安裝在垂直管道上這一缺點,德國科隆公司推出一款新型的金屬管轉子流量計(代號H250/H),確保金屬管轉子流量計能夠在水平管道上安裝和應用,使用性能和測量精度能夠滿足生產要求。這種新型的金屬管轉子流量計也得到國家相關規范的認可,根據《自動化儀表選型設計規范》HG/T 20507-2014第6.3.7條,轉子流量計亦可安裝在水平管道上[4]。該型號金屬管轉子流量計優化內部轉子結構模型,采用轉子+孔板模式并增設復位彈簧,利用這種復位力取代轉子重量與浮力之差[7],故其流量特性依然遵循金屬管轉子流量計的經典流量計算公式,只是需要測量介質在測量過程時刻保持滿管狀態,確保測量精度。由于氣體介質非常容易膨脹和擴散,輸送過程可以確保物料管道處于滿管狀態,因此該水平安裝式金屬管轉子流量計特別適用于測量氣體流量。
3 氣體流量測量的刻度換算法
由于生產廠家供貨的金屬管轉子流量計通常是標準規格的流量計,出廠前一般采用清水(工況20 ℃,針對液體介質) 或者空氣(工況101.325 kPa/20 ℃,針對氣體介質) 標定量程刻度。因此,被測流體與上述條件不符時,需要進行刻度換算才能獲得實際流量。根據金屬管轉子流量計的經典流量計算公式可得:


結束語
金屬管轉子流量計是一種可靠有效的流量測量儀表,其理論研究已經非常完善。新出現的水平安裝式金屬管轉子流量計可以克服傳統金屬管轉子流量計只能安裝在從底部進料的垂直管道上這一缺點,已逐步得到推廣。隨著流體建模理論的深化和測量技術的進步,水平安裝式金屬管轉子流量計的性能必將得到不斷優化和改善。這種新型流量計適宜安裝在水平管道上測量氣體流量,大大拓寬了金屬管轉子流量計的應用場合,必將具有廣闊前景。

水平安裝金屬管轉子流量計
污泥流量計
金屬管浮子流量計
鹽酸流量計
垂直安裝金屬管浮子流量計
硫酸流量計
掃一掃關注我們